close

民國107指考考試日期為107/07/01-03,為期三天。數學試題來自於大學入學考試中心。考試時間80分鐘,考題12題,其中包含3題單選,4題多選,3題填充,2提計算題。難度皆為主觀判定,判定基準如下:

★ 只需讀懂題目便能夠做答

★★ 一個公式即能做答或是基本運算

★★★ 要套用多個公式或是要想比較快

★★★★ 聯想力或想像力要夠強才能夠算

★★★★★ 無從下手

逐題詳解開始。詳解所看到的皆為將答案寫在白板上後以手機拍下照片。


難度:★★


難度:★

 ​​​​


難度:★★


難度:★★★


難度:★★★


難度:★★


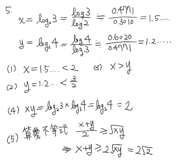
難度:★★★★


難度:★★


難度:★★


難度:★★


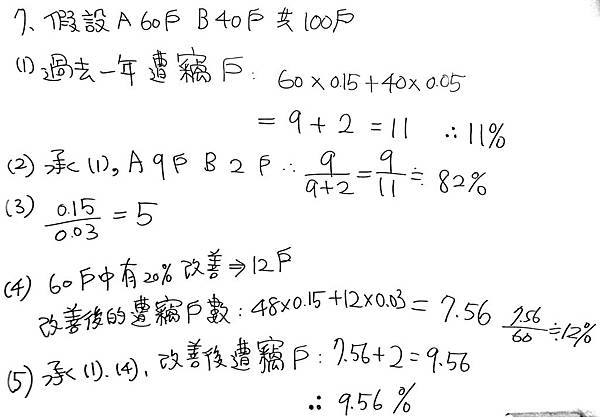
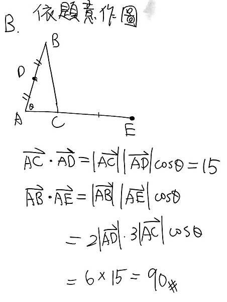
難度:★★★★


難度:★★

創作者介紹
創作者 Yue 的頭像
Yue

步步

Yue 發表在 痞客邦 留言(3) 人氣()